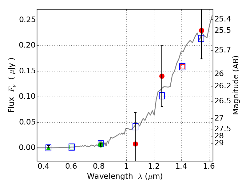
ABELL520 IR detection object #1330

Color images and BPZ results
Catalog: 1330.cat
Black segments are analyzed here.   Roll mouse over color images to view segments.
Best viewed in a wide browser window (1200 pixels or more).   Download SED & P(z) plots to view larger versions.
In P(z) plots: Yellow lines mark the cluster redshift z = 0.203,  

Object #1330   x,y = (1249, 6305)   RA, Dec = (04:54:20.496, 02:58:10.56) = (73.58540, 2.96960)   BPZ = 2.046 [1.630--8.529]   type = 4.00 (Ell4_A_0)   chisq2 = 0.40   ODDS = 0.14   z_cluster = 0.203