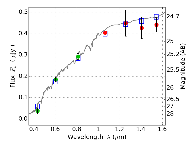
ABELL520 IR detection object #1328

Color images and BPZ results
Catalog: 1328.cat
Black segments are analyzed here.   Roll mouse over color images to view segments.
Best viewed in a wide browser window (1200 pixels or more).   Download SED & P(z) plots to view larger versions.
In P(z) plots: Yellow lines mark the cluster redshift z = 0.203,  

Object #1328   x,y = (1388, 5004)   RA, Dec = (04:54:19.944, 02:56:52.44) = (73.58310, 2.94790)   BPZ = 0.088 [0.038--3.839]   type = 4.00 (Ell4_A_0)   chisq2 = 0.36   ODDS = 0.46   z_cluster = 0.203