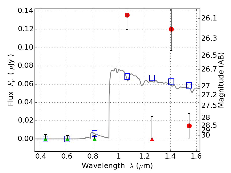
ABELL520 IR detection object #12

Color images and BPZ results
Catalog: 12.cat
Black segments are analyzed here.   Roll mouse over color images to view segments.
Best viewed in a wide browser window (1200 pixels or more).   Download SED & P(z) plots to view larger versions.
In P(z) plots: Yellow lines mark the cluster redshift z = 0.203,  

Object #12   x,y = (5783, 623)   RA, Dec = (04:54:02.328, 02:52:29.64) = (73.50970, 2.87490)   BPZ = 6.623 [6.355--6.994]   type = 11.00 (SB11_A_0_l)   chisq2 = 9.94   ODDS = 0.94   z_cluster = 0.203