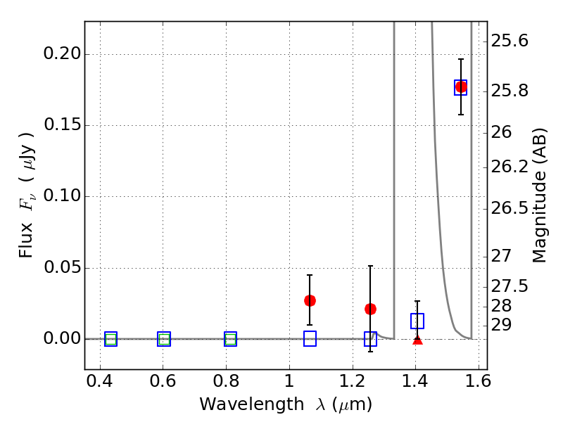
ABELL520 IR detection object #1191

Color images and BPZ results
Catalog: 1191.cat
Black segments are analyzed here.   Roll mouse over color images to view segments.
Best viewed in a wide browser window (1200 pixels or more).   Download SED & P(z) plots to view larger versions.
In P(z) plots: Yellow lines mark the cluster redshift z = 0.203,  

Object #1191   x,y = (199, 4828)   RA, Dec = (04:54:24.696, 02:56:41.64) = (73.60290, 2.94490)   BPZ = 11.993 [2.509--12.903]   type = 9.00 (SB2_B10)   chisq2 = 2.28   ODDS = 0.33   z_cluster = 0.203