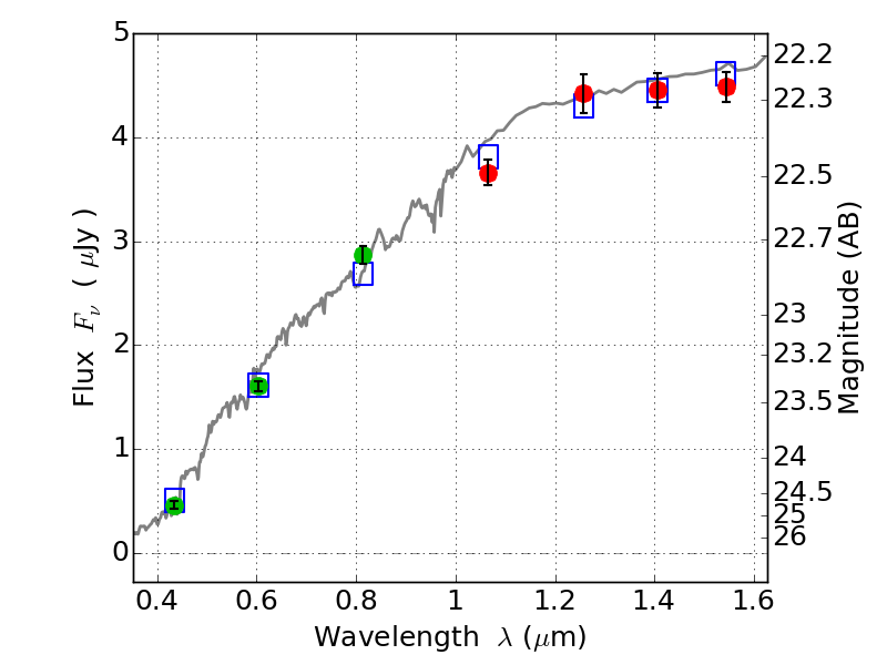
ABELL520 IR detection object #107

Color images and BPZ results
Catalog: 107.cat
Black segments are analyzed here.   Roll mouse over color images to view segments.
Best viewed in a wide browser window (1200 pixels or more).   Download SED & P(z) plots to view larger versions.
In P(z) plots: Yellow lines mark the cluster redshift z = 0.203,  

Object #107   x,y = (5012, 1151)   RA, Dec = (04:54:05.424, 02:53:01.32) = (73.52260, 2.88370)   BPZ = 0.119 [0.071--0.156]   type = 4.00 (Ell4_A_0)   chisq2 = 0.20   ODDS = 0.96   z_cluster = 0.203