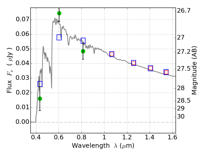
ABELL520 ACS+IR detection object #9996

Color images and BPZ results
Catalog: 9996.cat
Black segments are analyzed here.   Roll mouse over color images to view segments.
Best viewed in a wide browser window (1200 pixels or more).   Download SED & P(z) plots to view larger versions.
In P(z) plots: Yellow lines mark the cluster redshift z = 0.203,  

Object #9996   x,y = (2305, 7813)   RA, Dec = (04:54:16.272, 02:59:40.92) = (73.56780, 2.99470)   BPZ = 3.432 [2.853--3.658]   type = 11.00 (SB11_A_0_l)   chisq2 = 9.07   ODDS = 0.73   z_cluster = 0.203