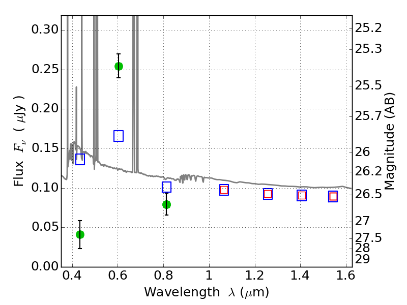
ABELL520 ACS+IR detection object #9317

Color images and BPZ results
Catalog: 9317.cat
Black segments are analyzed here.   Roll mouse over color images to view segments.
Best viewed in a wide browser window (1200 pixels or more).   Download SED & P(z) plots to view larger versions.
In P(z) plots: Yellow lines mark the cluster redshift z = 0.203,  

Object #9317   x,y = (593, 3628)   RA, Dec = (04:54:23.136, 02:55:29.64) = (73.59640, 2.92490)   BPZ = 0.020 [0.010--0.052]   type = 11.00 (SB11_A_0_l)   chisq2 = 46.34   ODDS = 0.99   z_cluster = 0.203