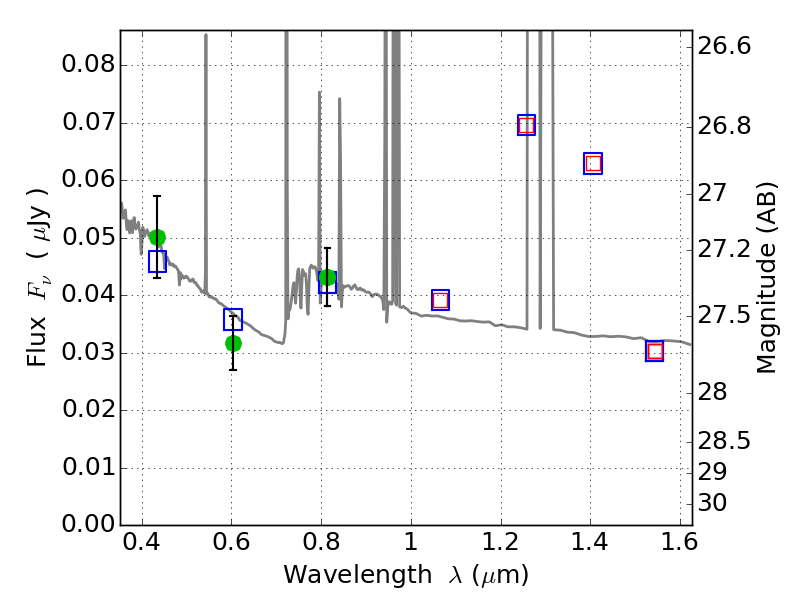
ABELL520 ACS+IR detection object #9255

Color images and BPZ results
Catalog: 9255.cat
Black segments are analyzed here.   Roll mouse over color images to view segments.
Best viewed in a wide browser window (1200 pixels or more).   Download SED & P(z) plots to view larger versions.
In P(z) plots: Yellow lines mark the cluster redshift z = 0.203,  

Object #9255   x,y = (2480, 3660)   RA, Dec = (04:54:15.576, 02:55:31.80) = (73.56490, 2.92550)   BPZ = 0.938 [0.525--2.389]   type = 11.00 (SB11_A_0_l)   chisq2 = 0.68   ODDS = 0.22   z_cluster = 0.203