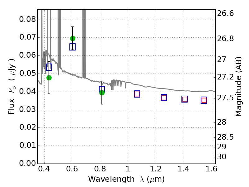
ABELL520 ACS+IR detection object #9211

Color images and BPZ results
Catalog: 9211.cat
Black segments are analyzed here.   Roll mouse over color images to view segments.
Best viewed in a wide browser window (1200 pixels or more).   Download SED & P(z) plots to view larger versions.
In P(z) plots: Yellow lines mark the cluster redshift z = 0.203,  

Object #9211   x,y = (813, 3765)   RA, Dec = (04:54:22.248, 02:55:37.92) = (73.59270, 2.92720)   BPZ = 0.035 [0.022--3.035]   type = 11.00 (SB11_A_0_l)   chisq2 = 0.81   ODDS = 0.12   z_cluster = 0.203