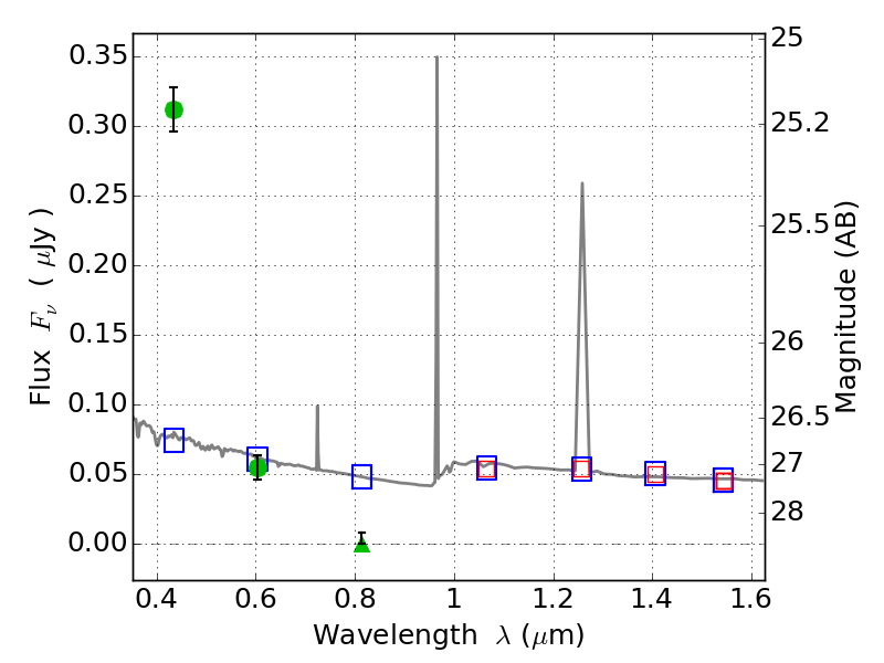
ABELL520 ACS+IR detection object #8892

Color images and BPZ results
Catalog: 8892.cat
Black segments are analyzed here.   Roll mouse over color images to view segments.
Best viewed in a wide browser window (1200 pixels or more).   Download SED & P(z) plots to view larger versions.
In P(z) plots: Yellow lines mark the cluster redshift z = 0.203,  

Object #8892   x,y = (567, 3829)   RA, Dec = (04:54:23.232, 02:55:41.88) = (73.59680, 2.92830)   BPZ = 1.593 [1.430--2.114]   type = 11.00 (SB11_A_0_l)   chisq2 = 257.06   ODDS = 0.54   z_cluster = 0.203