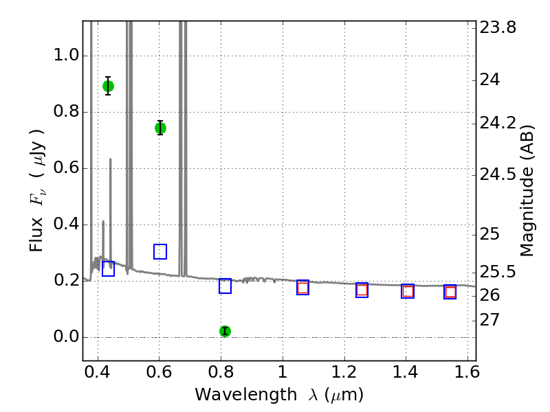
ABELL520 ACS+IR detection object #8864

Color images and BPZ results
Catalog: 8864.cat
Black segments are analyzed here.   Roll mouse over color images to view segments.
Best viewed in a wide browser window (1200 pixels or more).   Download SED & P(z) plots to view larger versions.
In P(z) plots: Yellow lines mark the cluster redshift z = 0.203,  

Object #8864   x,y = (7455, 3835)   RA, Dec = (04:53:55.632, 02:55:42.24) = (73.48180, 2.92840)   BPZ = 0.016 [0.010--0.031]   type = 11.00 (SB11_A_0_l)   chisq2 = 582.22   ODDS = 1.00   z_cluster = 0.203