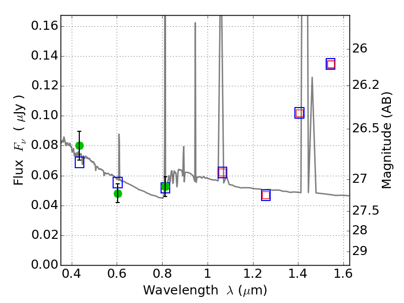
ABELL520 ACS+IR detection object #8739

Color images and BPZ results
Catalog: 8739.cat
Black segments are analyzed here.   Roll mouse over color images to view segments.
Best viewed in a wide browser window (1200 pixels or more).   Download SED & P(z) plots to view larger versions.
In P(z) plots: Yellow lines mark the cluster redshift z = 0.203,  

Object #8739   x,y = (3190, 4055)   RA, Dec = (04:54:12.720, 02:55:55.56) = (73.55300, 2.93210)   BPZ = 1.178 [0.850--2.466]   type = 11.00 (SB11_A_0_l)   chisq2 = 1.18   ODDS = 0.18   z_cluster = 0.203