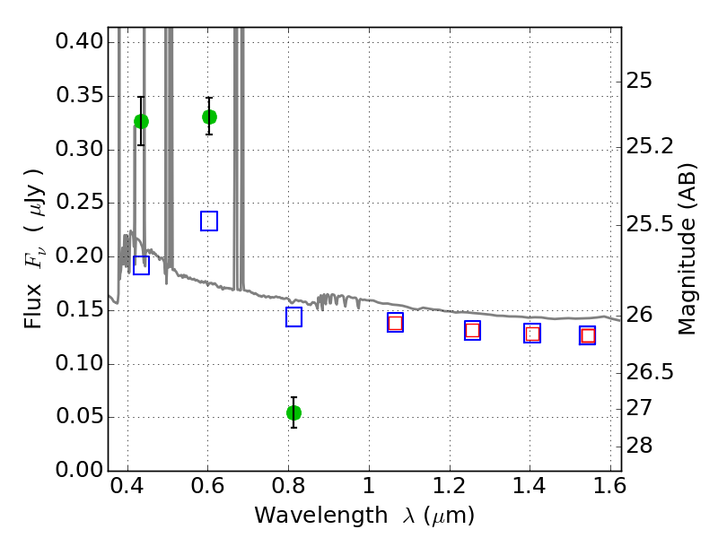
ABELL520 ACS+IR detection object #8352

Color images and BPZ results
Catalog: 8352.cat
Black segments are analyzed here.   Roll mouse over color images to view segments.
Best viewed in a wide browser window (1200 pixels or more).   Download SED & P(z) plots to view larger versions.
In P(z) plots: Yellow lines mark the cluster redshift z = 0.203,  

Object #8352   x,y = (508, 4415)   RA, Dec = (04:54:23.472, 02:56:17.16) = (73.59780, 2.93810)   BPZ = 0.019 [0.010--0.038]   type = 11.00 (SB11_A_0_l)   chisq2 = 76.68   ODDS = 1.00   z_cluster = 0.203