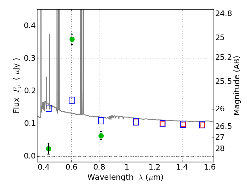
ABELL520 ACS+IR detection object #8309
Color images and BPZ results
Catalog: 8309.cat
Black segments are analyzed here. Roll mouse over color images to view segments.
Best viewed in a wide browser window (1200 pixels or more). Download SED & P(z) plots to view larger versions.
In P(z) plots: Yellow lines mark the cluster redshift z = 0.203,
Object #8309 x,y = (7446, 4051) RA, Dec = (04:53:55.680, 02:55:55.20) = (73.48200, 2.93200) BPZ = 0.017 [0.010--0.037] type = 11.00 (SB11_A_0_l) chisq2 = 146.96 ODDS = 1.00 z_cluster = 0.203