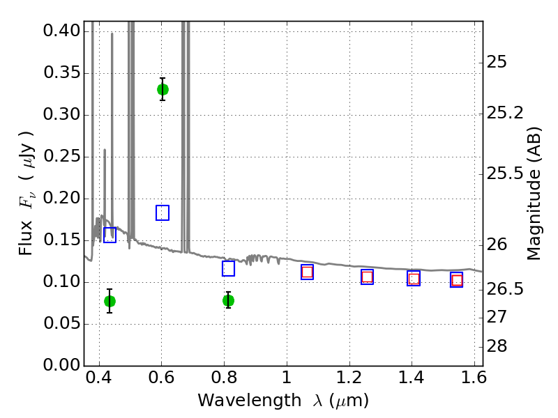
ABELL520 ACS+IR detection object #8044

Color images and BPZ results
Catalog: 8044.cat
Black segments are analyzed here.   Roll mouse over color images to view segments.
Best viewed in a wide browser window (1200 pixels or more).   Download SED & P(z) plots to view larger versions.
In P(z) plots: Yellow lines mark the cluster redshift z = 0.203,  

Object #8044   x,y = (7424, 4222)   RA, Dec = (04:53:55.752, 02:56:05.28) = (73.48230, 2.93480)   BPZ = 0.017 [0.010--0.035]   type = 11.00 (SB11_A_0_l)   chisq2 = 95.59   ODDS = 1.00   z_cluster = 0.203