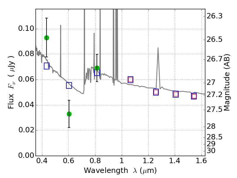
ABELL520 ACS+IR detection object #7896

Color images and BPZ results
Catalog: 7896.cat
Black segments are analyzed here.   Roll mouse over color images to view segments.
Best viewed in a wide browser window (1200 pixels or more).   Download SED & P(z) plots to view larger versions.
In P(z) plots: Yellow lines mark the cluster redshift z = 0.203,  

Object #7896   x,y = (508, 4277)   RA, Dec = (04:54:23.472, 02:56:08.88) = (73.59780, 2.93580)   BPZ = 0.928 [0.492--10.184]   type = 11.00 (SB11_A_0_l)   chisq2 = 5.81   ODDS = 0.23   z_cluster = 0.203