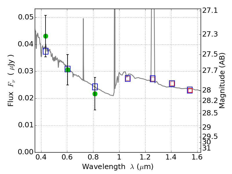
ABELL520 ACS+IR detection object #766

Color images and BPZ results
Catalog: 766.cat
Black segments are analyzed here.   Roll mouse over color images to view segments.
Best viewed in a wide browser window (1200 pixels or more).   Download SED & P(z) plots to view larger versions.
In P(z) plots: Yellow lines mark the cluster redshift z = 0.203,  

Object #766   x,y = (6563, 696)   RA, Dec = (04:53:59.208, 02:52:33.96) = (73.49670, 2.87610)   BPZ = 1.593 [1.066--2.665]   type = 11.00 (SB11_A_0_l)   chisq2 = 0.78   ODDS = 0.18   z_cluster = 0.203