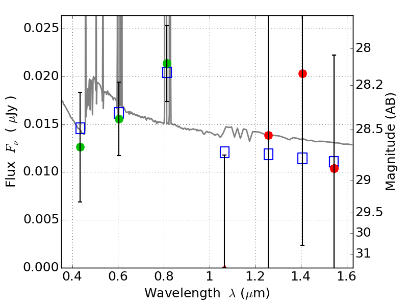
ABELL520 ACS+IR detection object #7552

Color images and BPZ results
Catalog: 7552.cat
Black segments are analyzed here.   Roll mouse over color images to view segments.
Best viewed in a wide browser window (1200 pixels or more).   Download SED & P(z) plots to view larger versions.
In P(z) plots: Yellow lines mark the cluster redshift z = 0.203,  

Object #7552   x,y = (671, 4392)   RA, Dec = (04:54:22.800, 02:56:15.72) = (73.59500, 2.93770)   BPZ = 0.235 [0.104--3.842]   type = 11.00 (SB11_A_0_l)   chisq2 = 0.22   ODDS = 0.13   z_cluster = 0.203