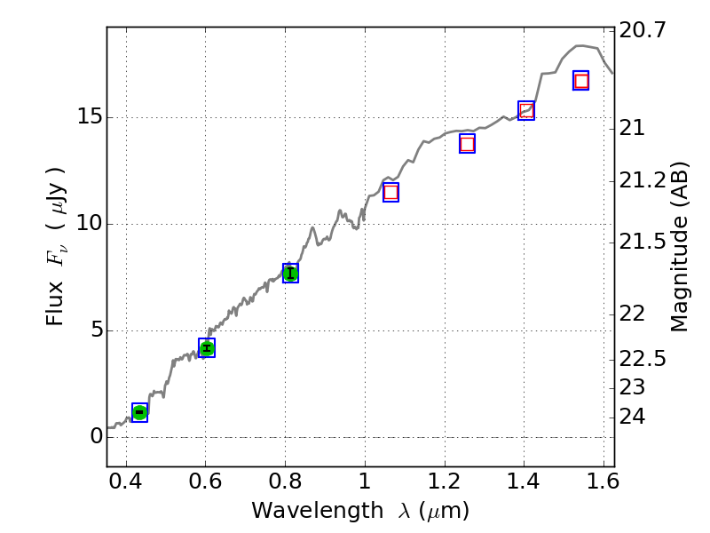
ABELL520 ACS+IR detection object #7529

Color images and BPZ results
Catalog: 7529.cat
Black segments are analyzed here.   Roll mouse over color images to view segments.
Best viewed in a wide browser window (1200 pixels or more).   Download SED & P(z) plots to view larger versions.
In P(z) plots: Yellow lines mark the cluster redshift z = 0.203,  

Object #7529   x,y = (589, 6175)   RA, Dec = (04:54:23.136, 02:58:02.64) = (73.59640, 2.96740)   BPZ = 0.146 [0.101--0.282]   type = 4.60 (ES0_B10 - Ell4_A_0)   chisq2 = 0.00   ODDS = 0.86   z_cluster = 0.203