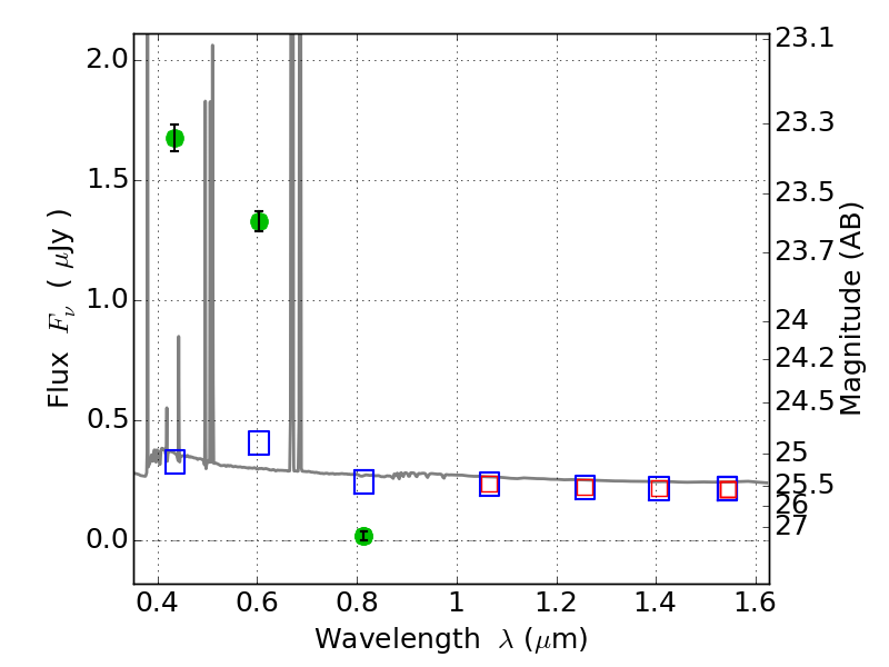
ABELL520 ACS+IR detection object #752

Color images and BPZ results
Catalog: 752.cat
Black segments are analyzed here.   Roll mouse over color images to view segments.
Best viewed in a wide browser window (1200 pixels or more).   Download SED & P(z) plots to view larger versions.
In P(z) plots: Yellow lines mark the cluster redshift z = 0.203,  

Object #752   x,y = (7701, 684)   RA, Dec = (04:53:54.648, 02:52:33.24) = (73.47770, 2.87590)   BPZ = 0.016 [0.010--0.031]   type = 11.00 (SB11_A_0_l)   chisq2 = 934.31   ODDS = 1.00   z_cluster = 0.203