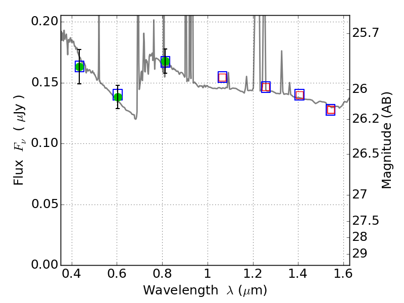
ABELL520 ACS+IR detection object #7356

Color images and BPZ results
Catalog: 7356.cat
Black segments are analyzed here.   Roll mouse over color images to view segments.
Best viewed in a wide browser window (1200 pixels or more).   Download SED & P(z) plots to view larger versions.
In P(z) plots: Yellow lines mark the cluster redshift z = 0.203,  

Object #7356   x,y = (3339, 7887)   RA, Dec = (04:54:12.120, 02:59:45.24) = (73.55050, 2.99590)   BPZ = 0.862 [0.540--2.102]   type = 10.70 (SB11_A_0_l - SB3_B10)   chisq2 = 0.02   ODDS = 0.23   z_cluster = 0.203