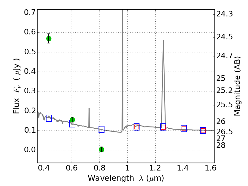
ABELL520 ACS+IR detection object #732

Color images and BPZ results
Catalog: 732.cat
Black segments are analyzed here.   Roll mouse over color images to view segments.
Best viewed in a wide browser window (1200 pixels or more).   Download SED & P(z) plots to view larger versions.
In P(z) plots: Yellow lines mark the cluster redshift z = 0.203,  

Object #732   x,y = (4246, 675)   RA, Dec = (04:54:08.496, 02:52:32.52) = (73.53540, 2.87570)   BPZ = 1.593 [1.502--2.002]   type = 11.00 (SB11_A_0_l)   chisq2 = 322.86   ODDS = 0.76   z_cluster = 0.203