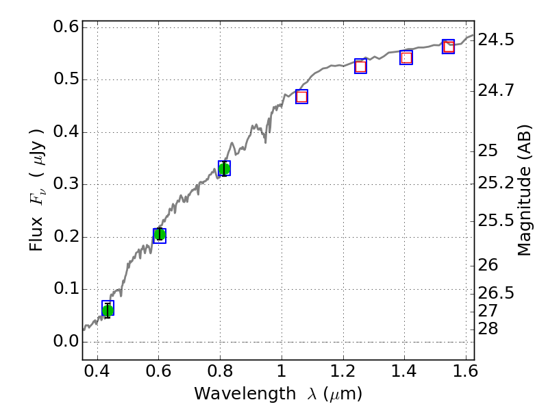
ABELL520 ACS+IR detection object #7241

Color images and BPZ results
Catalog: 7241.cat
Black segments are analyzed here.   Roll mouse over color images to view segments.
Best viewed in a wide browser window (1200 pixels or more).   Download SED & P(z) plots to view larger versions.
In P(z) plots: Yellow lines mark the cluster redshift z = 0.203,  

Object #7241   x,y = (4291, 3437)   RA, Dec = (04:54:08.304, 02:55:18.48) = (73.53460, 2.92180)   BPZ = 0.106 [0.051--3.586]   type = 4.00 (Ell4_A_0)   chisq2 = 0.03   ODDS = 0.26   z_cluster = 0.203