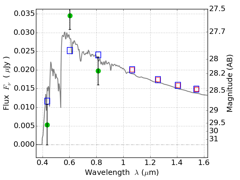
ABELL520 ACS+IR detection object #7220

Color images and BPZ results
Catalog: 7220.cat
Black segments are analyzed here.   Roll mouse over color images to view segments.
Best viewed in a wide browser window (1200 pixels or more).   Download SED & P(z) plots to view larger versions.
In P(z) plots: Yellow lines mark the cluster redshift z = 0.203,  

Object #7220   x,y = (3266, 3431)   RA, Dec = (04:54:12.408, 02:55:18.12) = (73.55170, 2.92170)   BPZ = 3.415 [0.348--3.716]   type = 11.00 (SB11_A_0_l)   chisq2 = 8.71   ODDS = 0.43   z_cluster = 0.203