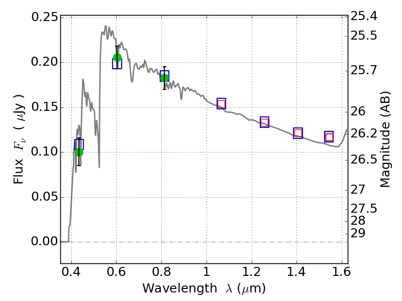
ABELL520 ACS+IR detection object #7074

Color images and BPZ results
Catalog: 7074.cat
Black segments are analyzed here.   Roll mouse over color images to view segments.
Best viewed in a wide browser window (1200 pixels or more).   Download SED & P(z) plots to view larger versions.
In P(z) plots: Yellow lines mark the cluster redshift z = 0.203,  

Object #7074   x,y = (5728, 3369)   RA, Dec = (04:54:02.544, 02:55:14.16) = (73.51060, 2.92060)   BPZ = 3.323 [0.330--3.474]   type = 11.00 (SB11_A_0_l)   chisq2 = 0.34   ODDS = 0.71   z_cluster = 0.203