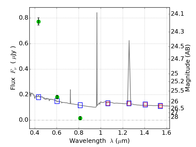
ABELL520 ACS+IR detection object #6890

Color images and BPZ results
Catalog: 6890.cat
Black segments are analyzed here.   Roll mouse over color images to view segments.
Best viewed in a wide browser window (1200 pixels or more).   Download SED & P(z) plots to view larger versions.
In P(z) plots: Yellow lines mark the cluster redshift z = 0.203,  

Object #6890   x,y = (653, 3297)   RA, Dec = (04:54:22.872, 02:55:09.84) = (73.59530, 2.91940)   BPZ = 1.593 [1.519--1.961]   type = 11.00 (SB11_A_0_l)   chisq2 = 438.37   ODDS = 0.81   z_cluster = 0.203