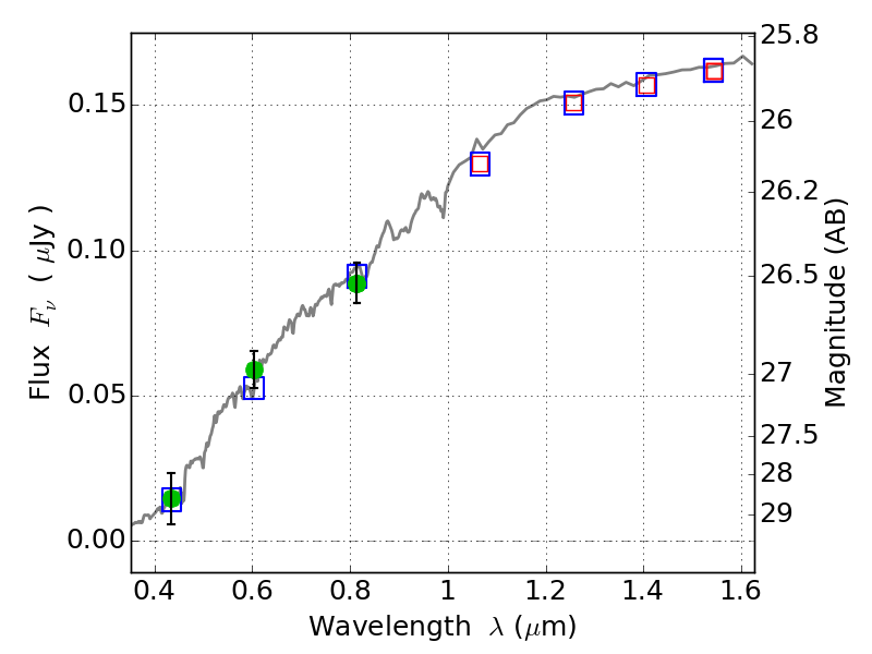
ABELL520 ACS+IR detection object #6831

Color images and BPZ results
Catalog: 6831.cat
Black segments are analyzed here.   Roll mouse over color images to view segments.
Best viewed in a wide browser window (1200 pixels or more).   Download SED & P(z) plots to view larger versions.
In P(z) plots: Yellow lines mark the cluster redshift z = 0.203,  

Object #6831   x,y = (1917, 3274)   RA, Dec = (04:54:17.832, 02:55:08.40) = (73.57430, 2.91900)   BPZ = 0.164 [0.082--3.989]   type = 4.00 (Ell4_A_0)   chisq2 = 0.33   ODDS = 0.08   z_cluster = 0.203