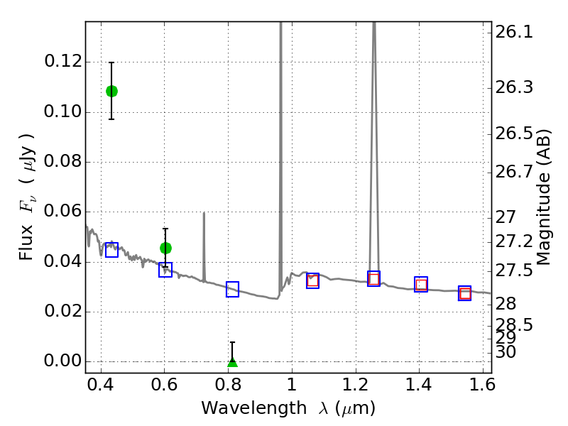
ABELL520 ACS+IR detection object #6810

Color images and BPZ results
Catalog: 6810.cat
Black segments are analyzed here.   Roll mouse over color images to view segments.
Best viewed in a wide browser window (1200 pixels or more).   Download SED & P(z) plots to view larger versions.
In P(z) plots: Yellow lines mark the cluster redshift z = 0.203,  

Object #6810   x,y = (7434, 3266)   RA, Dec = (04:53:55.728, 02:55:08.04) = (73.48220, 2.91890)   BPZ = 1.594 [1.354--2.279]   type = 11.00 (SB11_A_0_l)   chisq2 = 54.45   ODDS = 0.32   z_cluster = 0.203