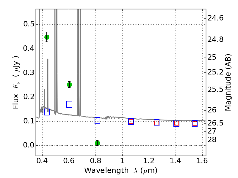
ABELL520 ACS+IR detection object #6540

Color images and BPZ results
Catalog: 6540.cat
Black segments are analyzed here.   Roll mouse over color images to view segments.
Best viewed in a wide browser window (1200 pixels or more).   Download SED & P(z) plots to view larger versions.
In P(z) plots: Yellow lines mark the cluster redshift z = 0.203,  

Object #6540   x,y = (680, 3170)   RA, Dec = (04:54:22.776, 02:55:02.28) = (73.59490, 2.91730)   BPZ = 0.018 [0.010--0.044]   type = 11.00 (SB11_A_0_l)   chisq2 = 283.48   ODDS = 0.98   z_cluster = 0.203