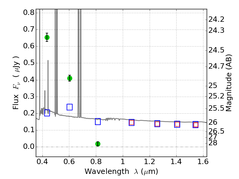
ABELL520 ACS+IR detection object #5957

Color images and BPZ results
Catalog: 5957.cat
Black segments are analyzed here.   Roll mouse over color images to view segments.
Best viewed in a wide browser window (1200 pixels or more).   Download SED & P(z) plots to view larger versions.
In P(z) plots: Yellow lines mark the cluster redshift z = 0.203,  

Object #5957   x,y = (708, 2943)   RA, Dec = (04:54:22.656, 02:54:48.60) = (73.59440, 2.91350)   BPZ = 0.017 [0.010--0.033]   type = 11.00 (SB11_A_0_l)   chisq2 = 366.78   ODDS = 1.00   z_cluster = 0.203