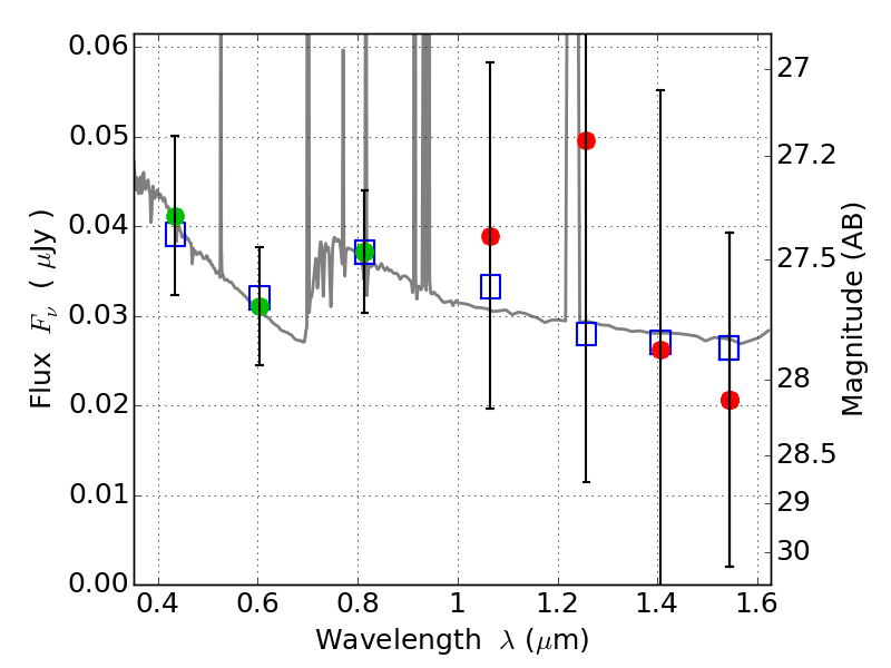
ABELL520 ACS+IR detection object #5941

Color images and BPZ results
Catalog: 5941.cat
Black segments are analyzed here.   Roll mouse over color images to view segments.
Best viewed in a wide browser window (1200 pixels or more).   Download SED & P(z) plots to view larger versions.
In P(z) plots: Yellow lines mark the cluster redshift z = 0.203,  

Object #5941   x,y = (4805, 2938)   RA, Dec = (04:54:06.264, 02:54:48.24) = (73.52610, 2.91340)   BPZ = 0.884 [0.144--2.932]   type = 11.00 (SB11_A_0_l)   chisq2 = 0.11   ODDS = 0.16   z_cluster = 0.203