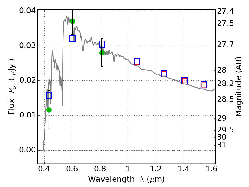
ABELL520 ACS+IR detection object #5873

Color images and BPZ results
Catalog: 5873.cat
Black segments are analyzed here.   Roll mouse over color images to view segments.
Best viewed in a wide browser window (1200 pixels or more).   Download SED & P(z) plots to view larger versions.
In P(z) plots: Yellow lines mark the cluster redshift z = 0.203,  

Object #5873   x,y = (3618, 2909)   RA, Dec = (04:54:11.016, 02:54:46.80) = (73.54590, 2.91300)   BPZ = 3.385 [0.313--3.670]   type = 11.00 (SB11_A_0_l)   chisq2 = 2.32   ODDS = 0.42   z_cluster = 0.203