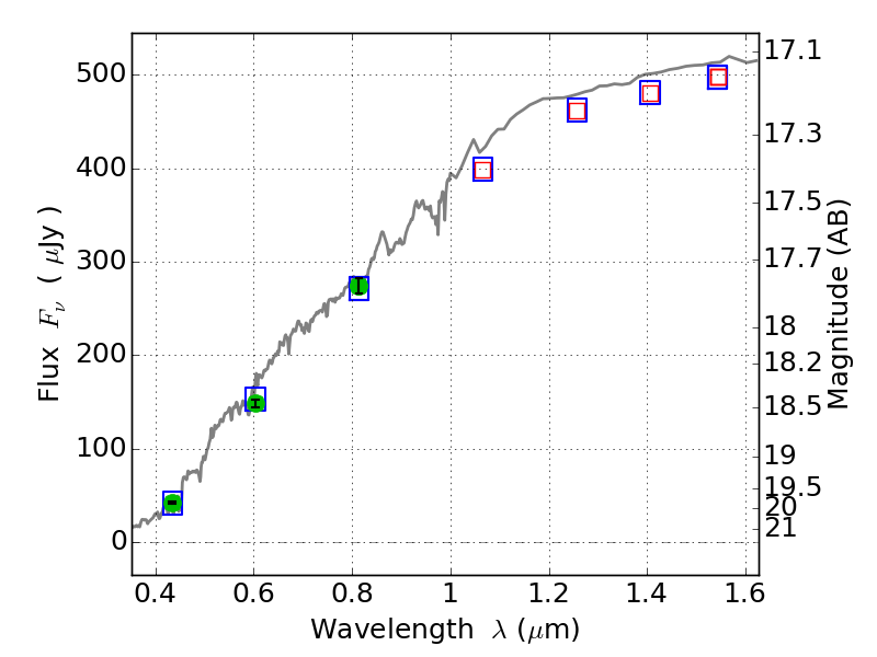
ABELL520 ACS+IR detection object #5631
Color images and BPZ results
Catalog: 5631.cat
Black segments are analyzed here. Roll mouse over color images to view segments.
Best viewed in a wide browser window (1200 pixels or more). Download SED & P(z) plots to view larger versions.
In P(z) plots: Yellow lines mark the cluster redshift z = 0.203,
Object #5631 x,y = (6425, 2626) RA, Dec = (04:53:59.760, 02:54:29.52) = (73.49900, 2.90820) BPZ = 0.140 [0.090--0.219] type = 2.60 (Ell5_A_0 - Ell6_A_0) chisq2 = 0.04 ODDS = 0.91 z_cluster = 0.203