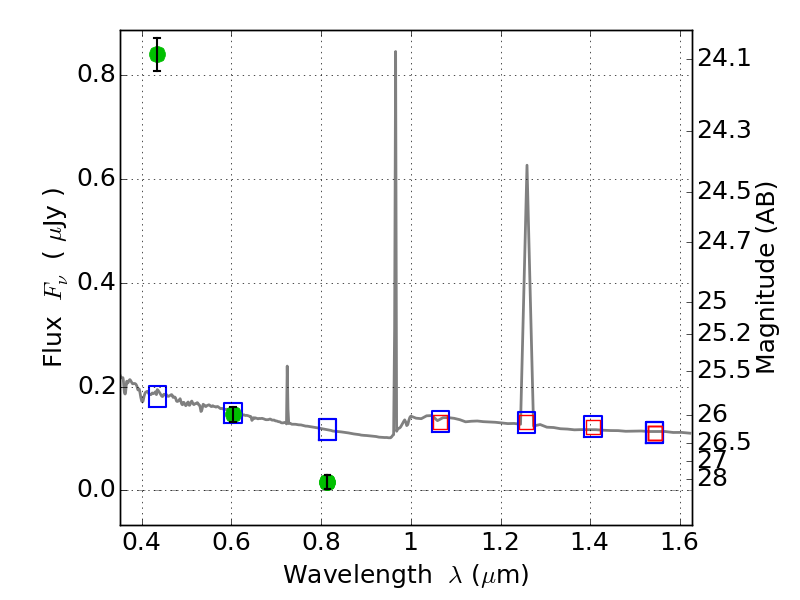
ABELL520 ACS+IR detection object #5542

Color images and BPZ results
Catalog: 5542.cat
Black segments are analyzed here.   Roll mouse over color images to view segments.
Best viewed in a wide browser window (1200 pixels or more).   Download SED & P(z) plots to view larger versions.
In P(z) plots: Yellow lines mark the cluster redshift z = 0.203,  

Object #5542   x,y = (7484, 2784)   RA, Dec = (04:53:55.512, 02:54:39.24) = (73.48130, 2.91090)   BPZ = 1.593 [1.484--2.023]   type = 11.00 (SB11_A_0_l)   chisq2 = 435.93   ODDS = 0.73   z_cluster = 0.203