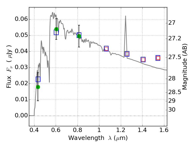
ABELL520 ACS+IR detection object #5389

Color images and BPZ results
Catalog: 5389.cat
Black segments are analyzed here.   Roll mouse over color images to view segments.
Best viewed in a wide browser window (1200 pixels or more).   Download SED & P(z) plots to view larger versions.
In P(z) plots: Yellow lines mark the cluster redshift z = 0.203,  

Object #5389   x,y = (6453, 2719)   RA, Dec = (04:53:59.640, 02:54:35.28) = (73.49850, 2.90980)   BPZ = 3.447 [0.211--3.725]   type = 11.00 (SB11_A_0_l)   chisq2 = 0.33   ODDS = 0.25   z_cluster = 0.203