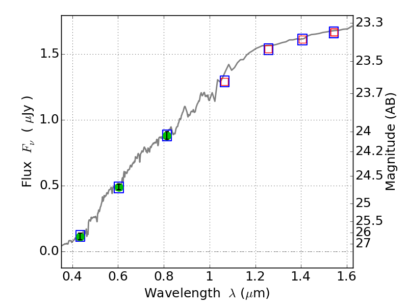
ABELL520 ACS+IR detection object #5320

Color images and BPZ results
Catalog: 5320.cat
Black segments are analyzed here.   Roll mouse over color images to view segments.
Best viewed in a wide browser window (1200 pixels or more).   Download SED & P(z) plots to view larger versions.
In P(z) plots: Yellow lines mark the cluster redshift z = 0.203,  

Object #5320   x,y = (3472, 2700)   RA, Dec = (04:54:11.592, 02:54:34.20) = (73.54830, 2.90950)   BPZ = 0.182 [0.101--3.504]   type = 3.00 (Ell5_A_0)   chisq2 = 0.01   ODDS = 0.67   z_cluster = 0.203