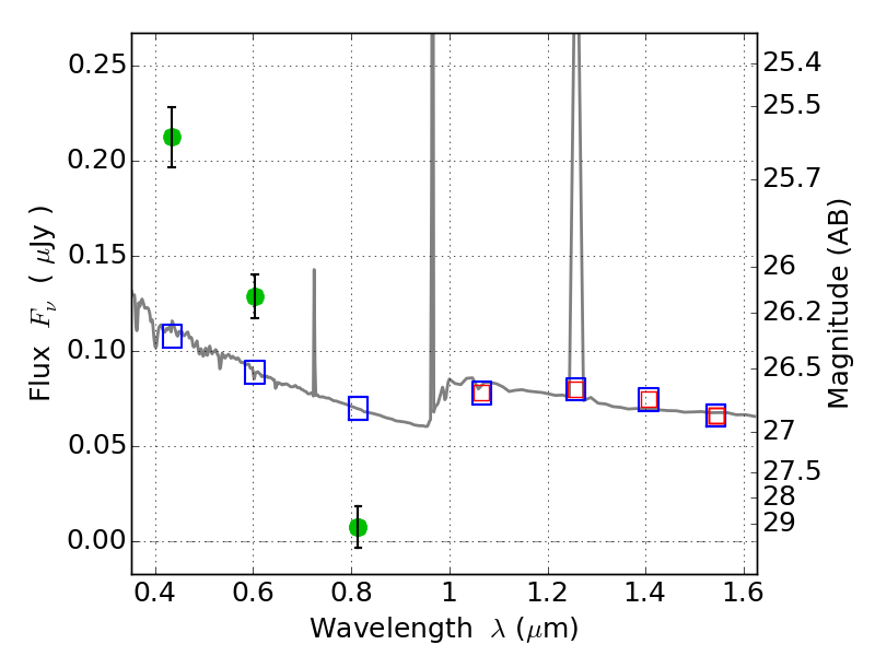
ABELL520 ACS+IR detection object #521

Color images and BPZ results
Catalog: 521.cat
Black segments are analyzed here.   Roll mouse over color images to view segments.
Best viewed in a wide browser window (1200 pixels or more).   Download SED & P(z) plots to view larger versions.
In P(z) plots: Yellow lines mark the cluster redshift z = 0.203,  

Object #521   x,y = (4255, 511)   RA, Dec = (04:54:08.448, 02:52:22.80) = (73.53520, 2.87300)   BPZ = 1.594 [1.451--2.126]   type = 11.00 (SB11_A_0_l)   chisq2 = 89.83   ODDS = 0.49   z_cluster = 0.203