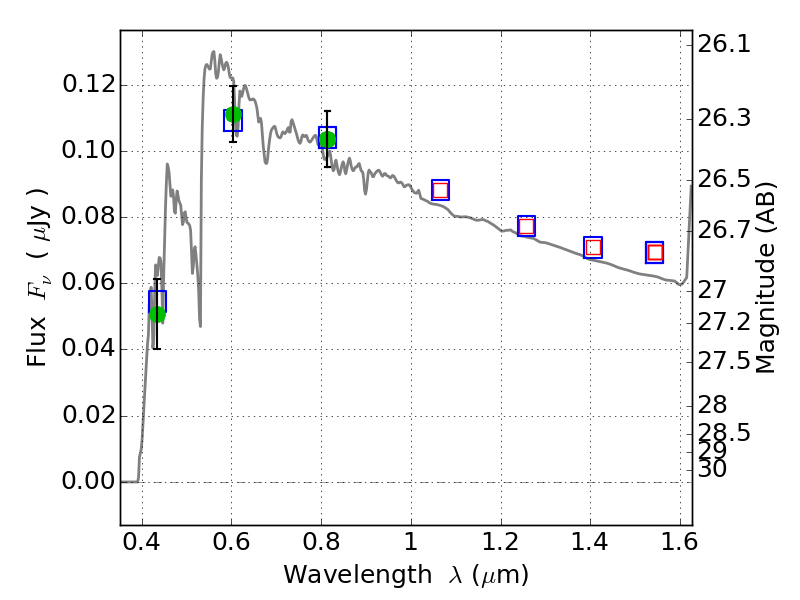
ABELL520 ACS+IR detection object #5162

Color images and BPZ results
Catalog: 5162.cat
Black segments are analyzed here.   Roll mouse over color images to view segments.
Best viewed in a wide browser window (1200 pixels or more).   Download SED & P(z) plots to view larger versions.
In P(z) plots: Yellow lines mark the cluster redshift z = 0.203,  

Object #5162   x,y = (6675, 2636)   RA, Dec = (04:53:58.776, 02:54:30.24) = (73.49490, 2.90840)   BPZ = 3.372 [0.288--3.542]   type = 10.80 (SB11_A_0_l - SB3_B10)   chisq2 = 0.13   ODDS = 0.47   z_cluster = 0.203