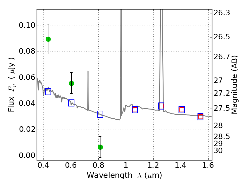
ABELL520 ACS+IR detection object #4961

Color images and BPZ results
Catalog: 4961.cat
Black segments are analyzed here.   Roll mouse over color images to view segments.
Best viewed in a wide browser window (1200 pixels or more).   Download SED & P(z) plots to view larger versions.
In P(z) plots: Yellow lines mark the cluster redshift z = 0.203,  

Object #4961   x,y = (770, 2559)   RA, Dec = (04:54:22.416, 02:54:25.56) = (73.59340, 2.90710)   BPZ = 1.595 [1.352--2.368]   type = 11.00 (SB11_A_0_l)   chisq2 = 31.17   ODDS = 0.29   z_cluster = 0.203