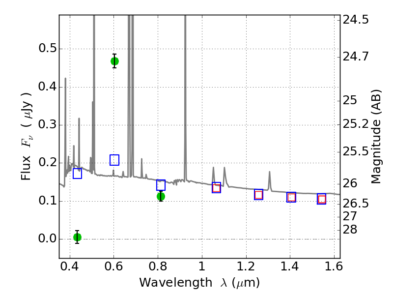
ABELL520 ACS+IR detection object #4748

Color images and BPZ results
Catalog: 4748.cat
Black segments are analyzed here.   Roll mouse over color images to view segments.
Best viewed in a wide browser window (1200 pixels or more).   Download SED & P(z) plots to view larger versions.
In P(z) plots: Yellow lines mark the cluster redshift z = 0.203,  

Object #4748   x,y = (7542, 2462)   RA, Dec = (04:53:55.296, 02:54:19.80) = (73.48040, 2.90550)   BPZ = 0.017 [0.010--3.581]   type = 10.70 (SB11_A_0_l - SB3_B10)   chisq2 = 192.48   ODDS = 0.80   z_cluster = 0.203