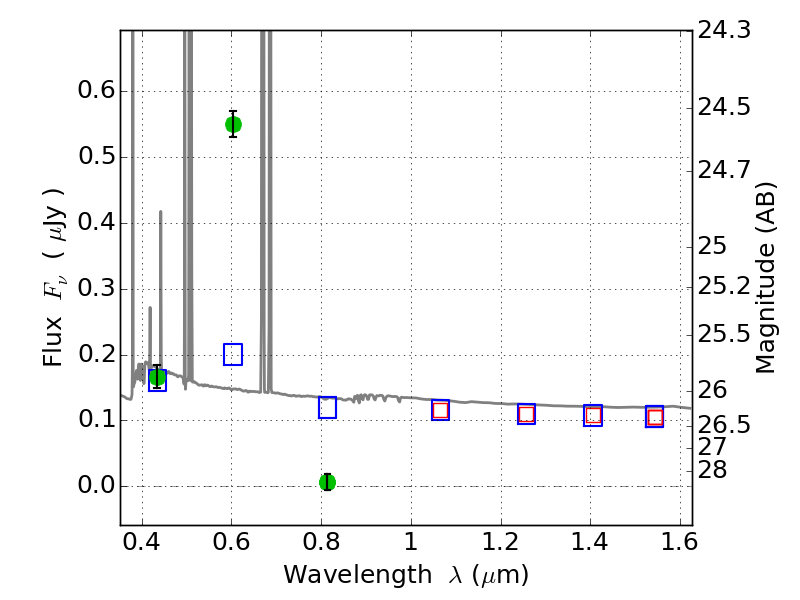
ABELL520 ACS+IR detection object #4645

Color images and BPZ results
Catalog: 4645.cat
Black segments are analyzed here.   Roll mouse over color images to view segments.
Best viewed in a wide browser window (1200 pixels or more).   Download SED & P(z) plots to view larger versions.
In P(z) plots: Yellow lines mark the cluster redshift z = 0.203,  

Object #4645   x,y = (7550, 2425)   RA, Dec = (04:53:55.248, 02:54:17.64) = (73.48020, 2.90490)   BPZ = 0.016 [0.010--0.032]   type = 11.00 (SB11_A_0_l)   chisq2 = 287.69   ODDS = 1.00   z_cluster = 0.203