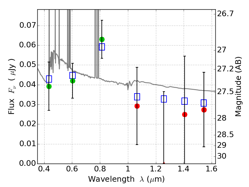
ABELL520 ACS+IR detection object #4067

Color images and BPZ results
Catalog: 4067.cat
Black segments are analyzed here.   Roll mouse over color images to view segments.
Best viewed in a wide browser window (1200 pixels or more).   Download SED & P(z) plots to view larger versions.
In P(z) plots: Yellow lines mark the cluster redshift z = 0.203,  

Object #4067   x,y = (5735, 2197)   RA, Dec = (04:54:02.520, 02:54:03.96) = (73.51050, 2.90110)   BPZ = 0.171 [0.089--3.273]   type = 11.00 (SB11_A_0_l)   chisq2 = 0.20   ODDS = 0.37   z_cluster = 0.203