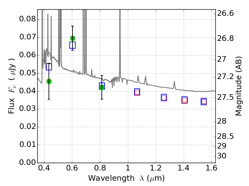
ABELL520 ACS+IR detection object #4048

Color images and BPZ results
Catalog: 4048.cat
Black segments are analyzed here.   Roll mouse over color images to view segments.
Best viewed in a wide browser window (1200 pixels or more).   Download SED & P(z) plots to view larger versions.
In P(z) plots: Yellow lines mark the cluster redshift z = 0.203,  

Object #4048   x,y = (2437, 2191)   RA, Dec = (04:54:15.744, 02:54:03.60) = (73.56560, 2.90100)   BPZ = 0.039 [0.031--3.129]   type = 10.90 (SB11_A_0_l - SB3_B10)   chisq2 = 0.81   ODDS = 0.07   z_cluster = 0.203