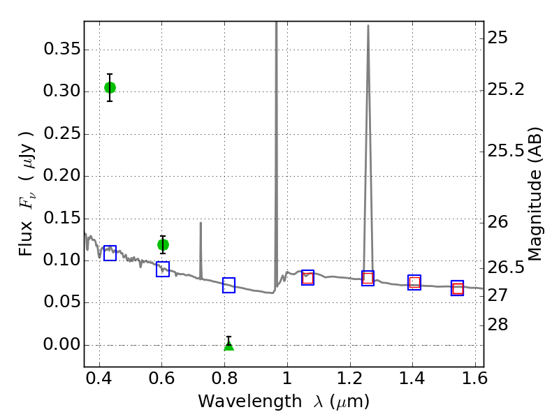
ABELL520 ACS+IR detection object #4011

Color images and BPZ results
Catalog: 4011.cat
Black segments are analyzed here.   Roll mouse over color images to view segments.
Best viewed in a wide browser window (1200 pixels or more).   Download SED & P(z) plots to view larger versions.
In P(z) plots: Yellow lines mark the cluster redshift z = 0.203,  

Object #4011   x,y = (7577, 2179)   RA, Dec = (04:53:55.152, 02:54:02.88) = (73.47980, 2.90080)   BPZ = 1.593 [1.477--2.049]   type = 11.00 (SB11_A_0_l)   chisq2 = 195.37   ODDS = 0.65   z_cluster = 0.203