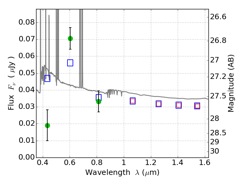
ABELL520 ACS+IR detection object #3992

Color images and BPZ results
Catalog: 3992.cat
Black segments are analyzed here.   Roll mouse over color images to view segments.
Best viewed in a wide browser window (1200 pixels or more).   Download SED & P(z) plots to view larger versions.
In P(z) plots: Yellow lines mark the cluster redshift z = 0.203,  

Object #3992   x,y = (2183, 2169)   RA, Dec = (04:54:16.752, 02:54:02.16) = (73.56980, 2.90060)   BPZ = 0.034 [0.021--3.473]   type = 11.00 (SB11_A_0_l)   chisq2 = 11.91   ODDS = 0.13   z_cluster = 0.203