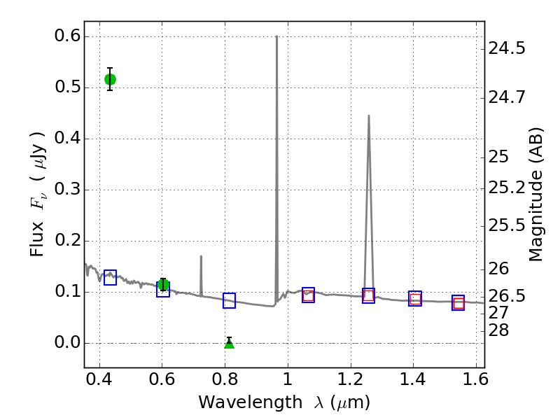
ABELL520 ACS+IR detection object #3981
Color images and BPZ results
Catalog: 3981.cat
Black segments are analyzed here. Roll mouse over color images to view segments.
Best viewed in a wide browser window (1200 pixels or more). Download SED & P(z) plots to view larger versions.
In P(z) plots: Yellow lines mark the cluster redshift z = 0.203,
Object #3981 x,y = (839, 2167) RA, Dec = (04:54:22.128, 02:54:02.16) = (73.59220, 2.90060) BPZ = 1.593 [1.475--2.037] type = 11.00 (SB11_A_0_l) chisq2 = 336.79 ODDS = 0.69 z_cluster = 0.203