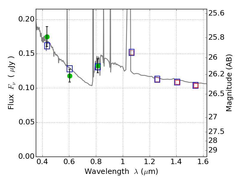
ABELL520 ACS+IR detection object #3437

Color images and BPZ results
Catalog: 3437.cat
Black segments are analyzed here.   Roll mouse over color images to view segments.
Best viewed in a wide browser window (1200 pixels or more).   Download SED & P(z) plots to view larger versions.
In P(z) plots: Yellow lines mark the cluster redshift z = 0.203,  

Object #3437   x,y = (3788, 1961)   RA, Dec = (04:54:10.320, 02:53:49.92) = (73.54300, 2.89720)   BPZ = 1.088 [0.825--2.265]   type = 11.00 (SB11_A_0_l)   chisq2 = 1.06   ODDS = 0.44   z_cluster = 0.203