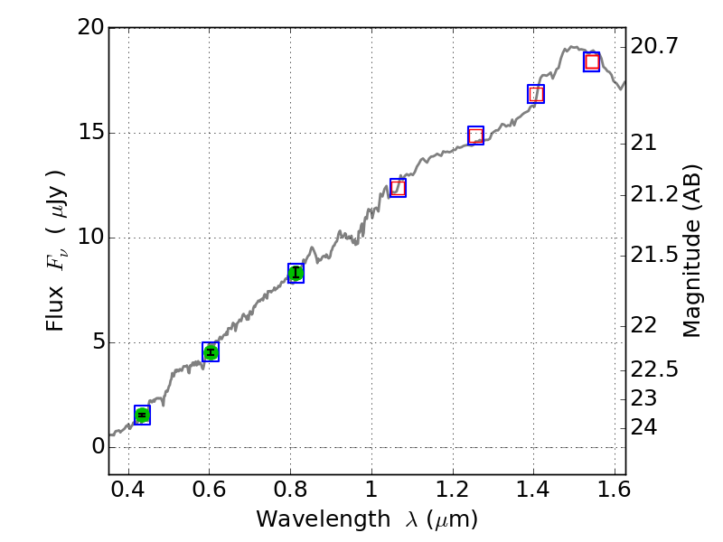
ABELL520 ACS+IR detection object #3157

Color images and BPZ results
Catalog: 3157.cat
Black segments are analyzed here.   Roll mouse over color images to view segments.
Best viewed in a wide browser window (1200 pixels or more).   Download SED & P(z) plots to view larger versions.
In P(z) plots: Yellow lines mark the cluster redshift z = 0.203,  

Object #3157   x,y = (3703, 1807)   RA, Dec = (04:54:10.656, 02:53:40.56) = (73.54440, 2.89460)   BPZ = 0.127 [0.071--0.416]   type = 5.50 (Sbc_B10 - ES0_B10)   chisq2 = 0.00   ODDS = 0.32   z_cluster = 0.203