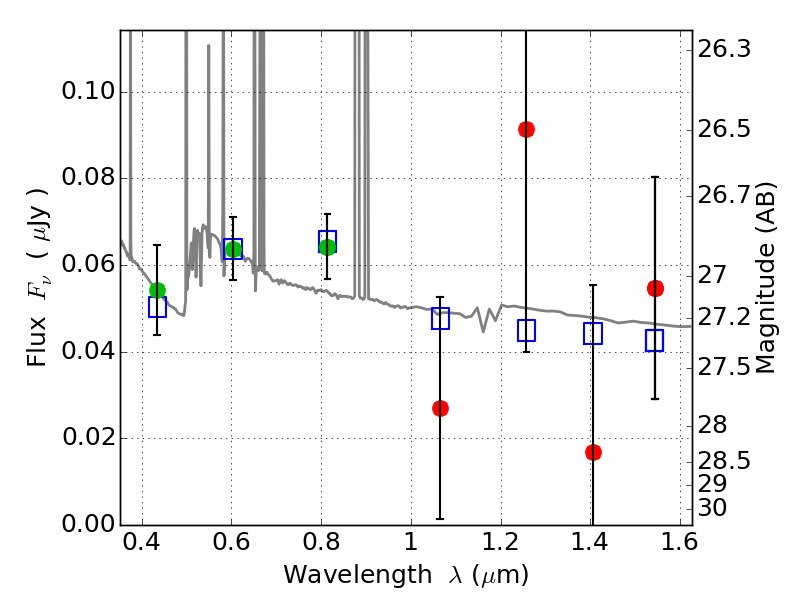
ABELL520 ACS+IR detection object #3088

Color images and BPZ results
Catalog: 3088.cat
Black segments are analyzed here.   Roll mouse over color images to view segments.
Best viewed in a wide browser window (1200 pixels or more).   Download SED & P(z) plots to view larger versions.
In P(z) plots: Yellow lines mark the cluster redshift z = 0.203,  

Object #3088   x,y = (4109, 1830)   RA, Dec = (04:54:09.048, 02:53:42.00) = (73.53770, 2.89500)   BPZ = 0.344 [0.114--3.278]   type = 11.00 (SB11_A_0_l)   chisq2 = 0.39   ODDS = 0.13   z_cluster = 0.203