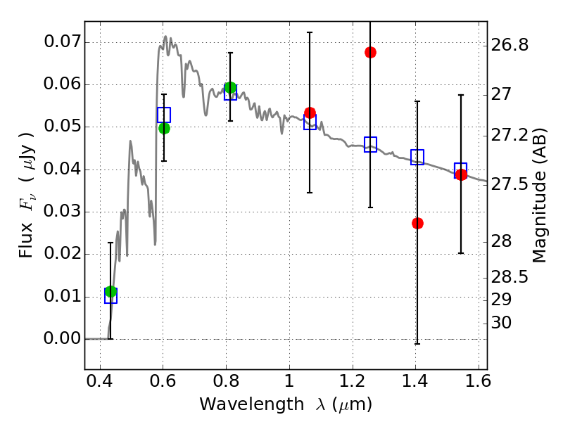
ABELL520 ACS+IR detection object #2448

Color images and BPZ results
Catalog: 2448.cat
Black segments are analyzed here.   Roll mouse over color images to view segments.
Best viewed in a wide browser window (1200 pixels or more).   Download SED & P(z) plots to view larger versions.
In P(z) plots: Yellow lines mark the cluster redshift z = 0.203,  

Object #2448   x,y = (5708, 1578)   RA, Dec = (04:54:02.640, 02:53:26.88) = (73.51100, 2.89080)   BPZ = 3.746 [0.234--4.167]   type = 10.60 (SB11_A_0_l - SB3_B10)   chisq2 = 0.12   ODDS = 0.53   z_cluster = 0.203